Sampling theory, aliasing

CS 248 - Introduction to Computer Graphics
Autumn Quarter, 2000
Marc Levoy
Lecture notes for Thursday, October 12


Table of contents:

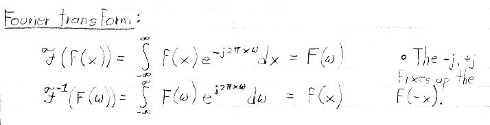
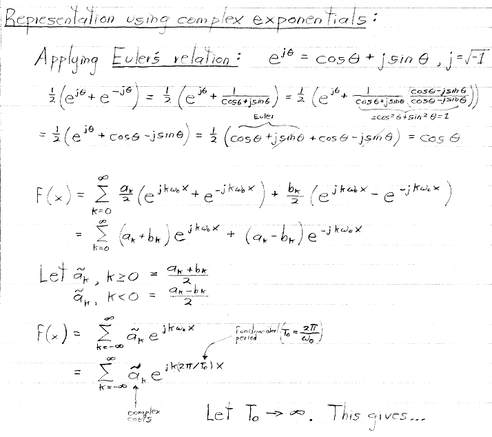
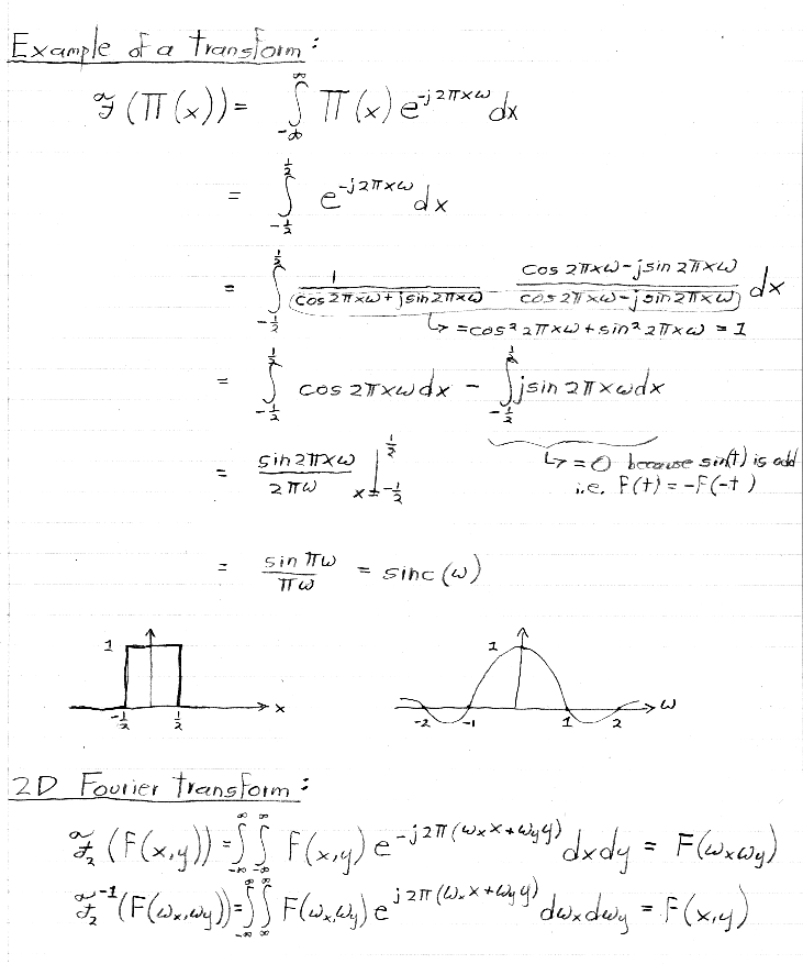
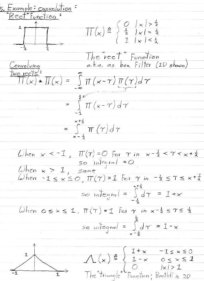
Press here for handout #6: Sampling and reconstruction.



















(We'll cover these dualities in class on Tuesday, Oct. 17.)
Press here for handout #6: Sampling and reconstruction.
(We'll cover this handout in class on Tuesday.)
levoy@cs.stanford.edu
Copyright © 2000 Marc Levoy
Last update: October 12, 2000 07:10:03 PM