Lighting II: specular reflection, generalized lighting models
CS 248 - Introduction to Computer Graphics
Autumn Quarter, 2000
Marc Levoy
Lecture notes for Tuesday, December 5
Table of contents:
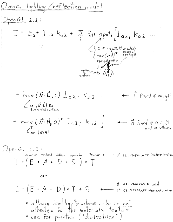
- Reflection (continued)
- Generalizing the reflection model
Press here for the Powerpoint slides about
measuring BRDFs.
levoy@cs.stanford.edu
Copyright © 2000 Marc Levoy
Last update:
December 7, 2000 06:36:30 PM