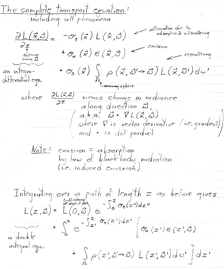
Participating media

CS 248 - Introduction to Computer Graphics
Autumn Quarter, 2001
Marc Levoy
Lecture notes for Thursday, December 7 (second third of lecture)


Table of contents:



levoy@cs.stanford.edu
Copyright © 2001 Marc Levoy
Last update: Friday, 07-Dec-2001 14:12:27 CST