Antialiasing strategies
CS 248 - Introduction to Computer Graphics
Autumn Quarter, 2001
Marc Levoy
Lecture notes for Tuesday, October 16
Table of contents:
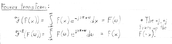
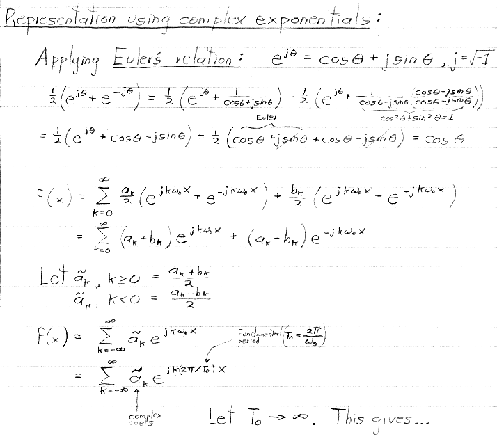
- Frequency domain analysis of sampling (a quick tour)
- What's the best way to prevent aliasing?
- Supersampling followed by resampling
Press here for handout #6:
Sampling and reconstruction.
I didn't have time in class to show you what supersamping and averaging down
looks like in the frequency domain. If you're interested, look at this
handout from CS 348B.
levoy@cs.stanford.edu
Copyright © 2001 Marc Levoy
Last update:
October 23, 2001 08:49:48 PM