2D transformations

CS 248 - Introduction to Computer Graphics
Autumn Quarter, 2001
Marc Levoy
Lecture notes for Thursday, October 25


Table of contents:




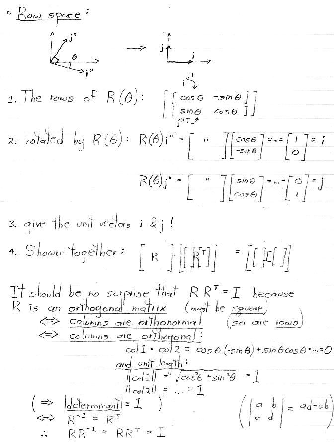
These unit vectors are also called the standard basis vectors. Restating the result shown above, any matrix transforms the standard basis vectors into a set of vectors that form the columns of the matrix.


In other words, an orthogonal matrix transforms its rows, taken as column vectors, into the standard basis vectors.


Thus, the 2D Cartesian coordinates occupy the W = 1 plane in 3D homogeneous space.




I'll cover this last page in class next Tuesday, Oct. 30.


levoy@cs.stanford.edu
Copyright © 2001 Marc Levoy
Last update: October 30, 2001 03:48:43 PM