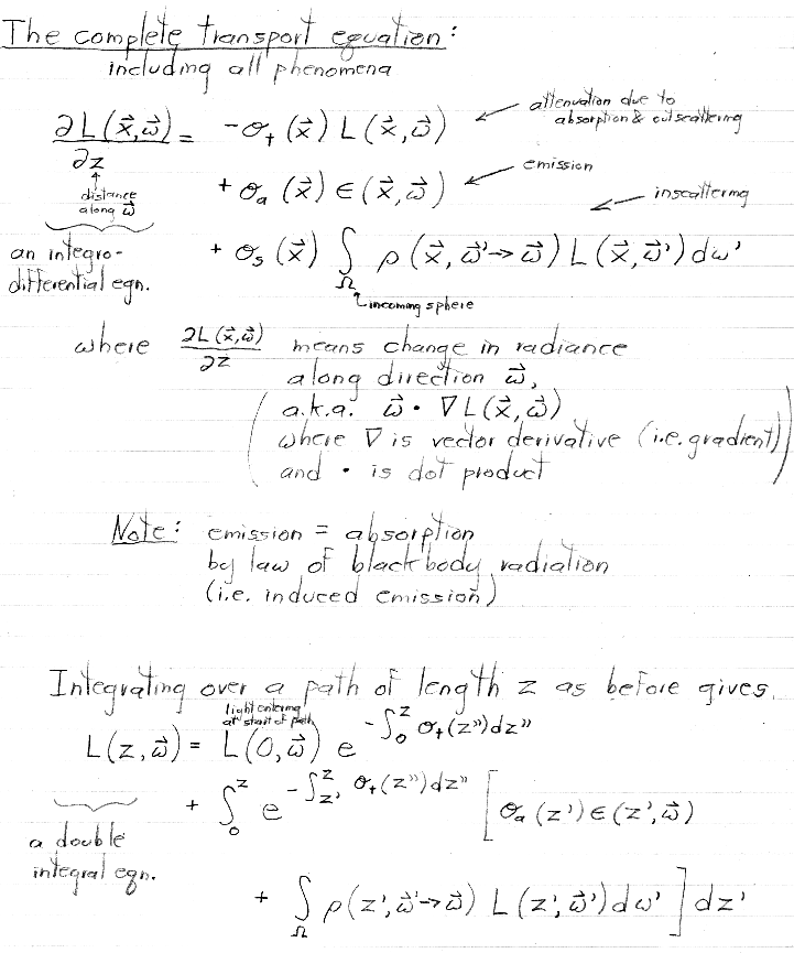
Participating media

CS 248 - Introduction to Computer Graphics
Autumn Quarter, 2002
Marc Levoy
Lecture notes for Thursday, December 5 (second third of lecture)


Table of contents:



levoy@cs.stanford.edu
Copyright © 2002 Marc Levoy
Last update: Thursday, 05-Dec-2002 16:18:45 PST