Lighting I: illumination, diffuse reflection
CS 248 - Introduction to Computer Graphics
Autumn Quarter, 2002
Marc Levoy
Lecture notes for Tuesday, November 26
Table of contents:
- Introduction
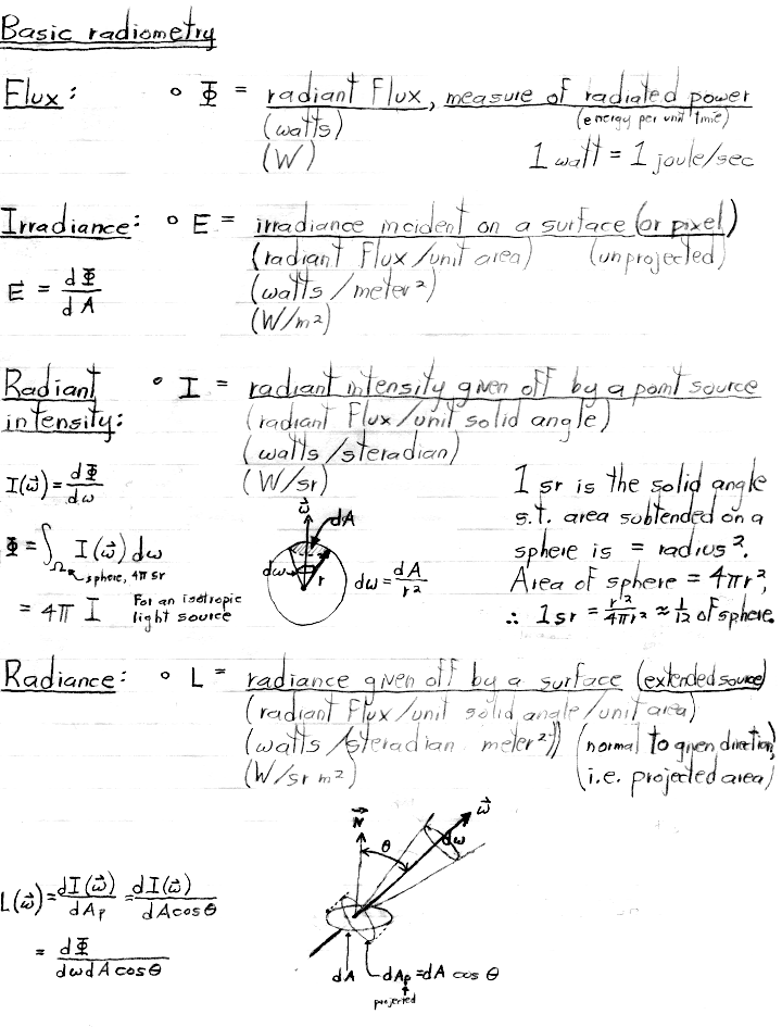
- Basic radiometry
- Illumination
- Reflection
levoy@cs.stanford.edu
Copyright © 2002 Marc Levoy
Last update:
November 26, 2002 06:30:21 PM