Lighting I: illumination, diffuse reflection
CS 248 - Introduction to Computer Graphics
Autumn Quarter, 2003
Marc Levoy
Lecture notes for Tuesday, November 25
Table of contents:
- Introduction
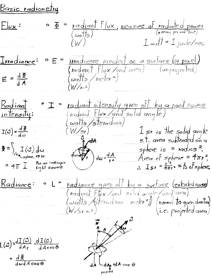
- Basic radiometry
- Illumination
- Reflection
levoy@cs.stanford.edu
Copyright © 2003 Marc Levoy
Last update:
November 25, 2003 03:07:46 PM