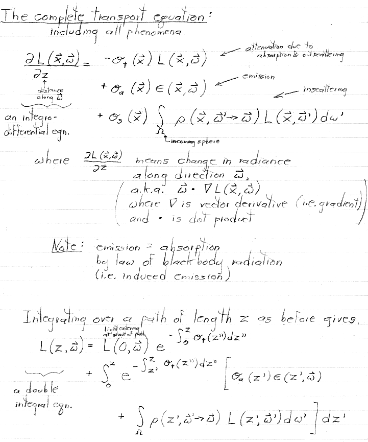
Participating media

CS 248 - Introduction to Computer Graphics
Autumn Quarter, 2004
Marc Levoy
Lecture notes for Thursday, December 2 (second third of lecture)


Table of contents:



levoy@cs.stanford.edu
Copyright © 2004 Marc Levoy
Last update: Thursday, 02-Dec-2004 20:32:19 CST