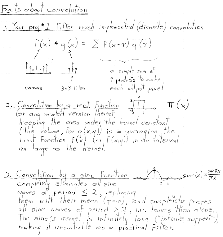
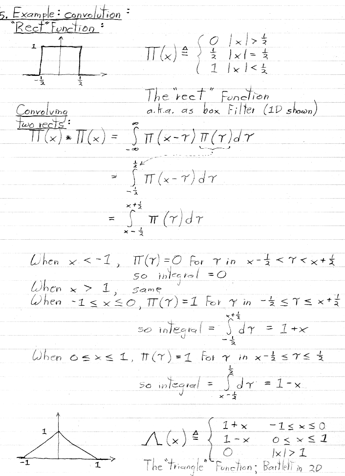
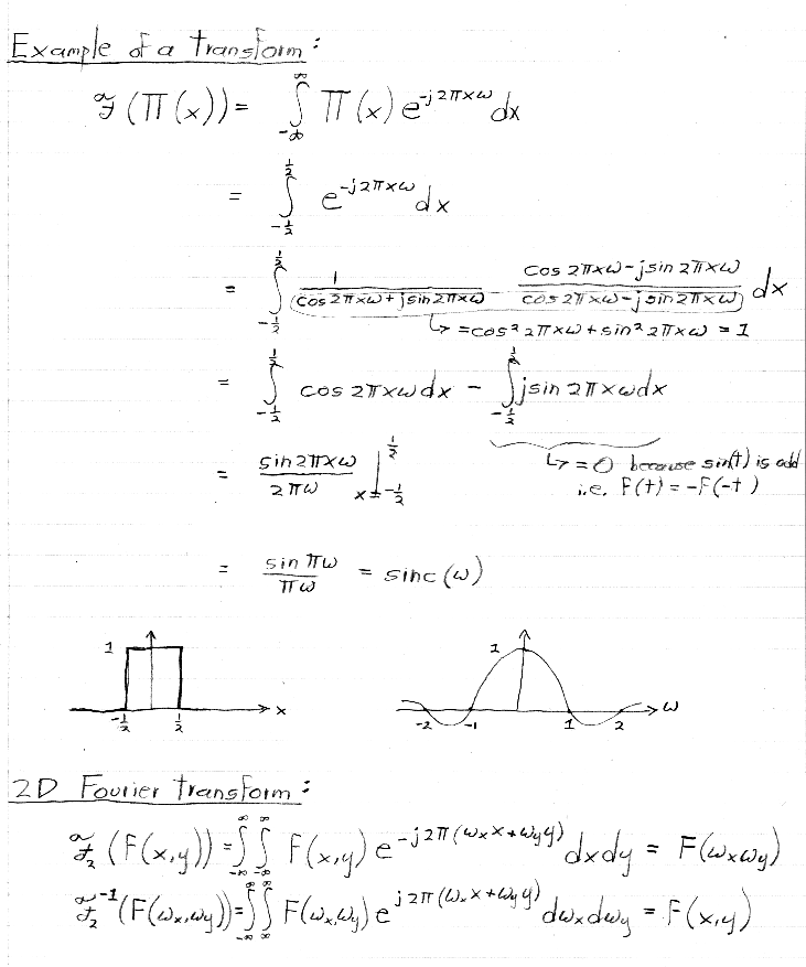
Sampling theory, aliasing

CS 248 - Introduction to Computer Graphics
Autumn Quarter, 2004
Marc Levoy
Lecture notes for Thursday, October 7 (second half of class)


Table of contents:





Press here for handout #6: Sampling and reconstruction.
levoy@cs.stanford.edu
Copyright © 2004 Marc Levoy
Last update: October 12, 2004 03:10:29 PM