Digital compositing

CS 248 - Introduction to Computer Graphics
Autumn Quarter, 2005
Marc Levoy
Lecture notes for Tuesday, October 19 (last half of class)


Table of contents:


Press here for the Powerpoint slides I showed in class (HTML or PPT or PDF).

Question for thought: What compositing formula was used to create the last slide? Treat the background, the buddha, and each airbrush stroke as a separate image having color and alpha channels. Your formula should be of the form "A op1 B op2 C op3...", optionally with parentheses, where A, B, and C are images and op1, op2, and op3 are taken from the list of 12 Porter and Duff compositing operators.




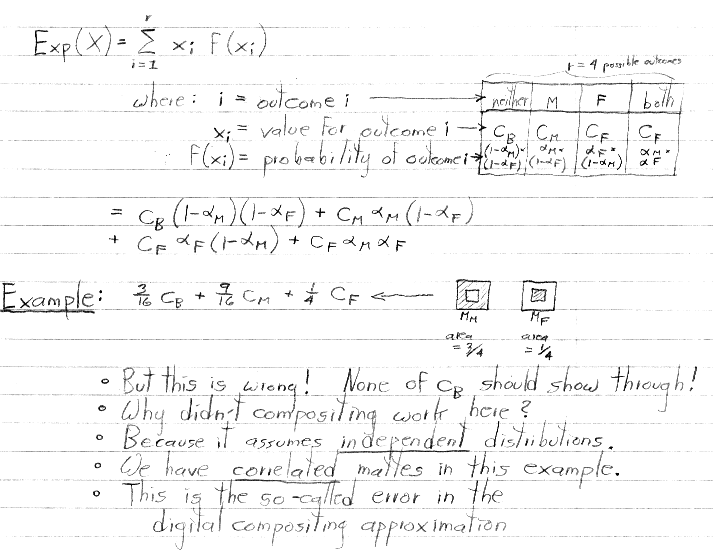
To save time in class, I didn't discuss the relationship (above) between binomial coefficients and the expectation of two independent random variables, but it's an interesting fact.


Reference: Wallace, B., Merging and Transformation of Raster Images for Cartoon Animation,
Computer Graphics (Proc. SIGGRAPH '81), Vol 15, No. 3, August, 1981, pp. 253-262.

Reference: Porter, T., Duff., T., Compositing digital images,
Computer Graphics (Proc. SIGGRAPH '84), Vol. 18, No. 3, 1984, ACM, pp. 253-259.

For more details about these formulations, and discussion of the history of digital composition, click here.


levoy@cs.stanford.edu
Copyright © 2005 Marc Levoy
Last update: October 11, 2005 06:58:29 PM