Lighting I: illumination, diffuse reflection
CS 248 - Introduction to Computer Graphics
Autumn Quarter, 2008
Marc Levoy
Lecture notes for Tuesday, November 18
Table of contents:
- Introduction
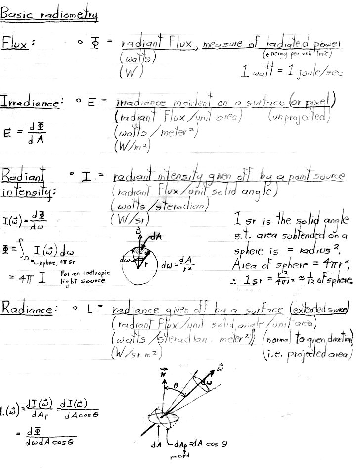
- Basic radiometry
- Illumination
- Reflection
levoy@cs.stanford.edu
Copyright © 2008 Marc Levoy
Last update:
November 17, 2008 07:37:30 PM