<html>
<head>
<title>
Visible-surface determination (part II), ray tracing
</title>
</head>
<body>

<h2>
Visible-surface determination (part II), ray tracing
</h2>

<blockquote>
CS 248 - Introduction to Computer Graphics
<br>
Spring Quarter, 1995
<br>
Marc Levoy
<br>
Lecture notes for Thursday, May 25
<br>
</blockquote>


<p>
<hr>

<h3>Table of contents:</h3>
<ul>
<li>	<a href="#Area subdivision I: Warnock">
	Area subdivision I: Warnock</a>
<li>	<a href="#Area subdivision II: Weiler-Atherton">
	Area subdivision II: Weiler-Atherton</a>
<li>	<a href="#List priority: BSP trees: Fuchs">
	List priority: BSP trees: Fuchs</a>
<li>	Ray tracing
	<ul>
	<li>	<a href="#Basic ray casting algorithm">
		Basic ray casting algorithm</a>
	<li>	<a href="#Ray-object intersections">
		Ray-object intersections</a>
	<li>	<a href="#Complexity">
		Complexity</a>
	<li>	<a href="#Typical performance">
		Typical performance</a>
	<li>	<a href="#Efficiency accelerations">
		Efficiency accelerations</a>
	<li>	<a href="#Other issues">
		Other issues</a>
	</ul>
</ul>

<p>
Press here for <a href="hidsurf1.html">part I</a> of this lecture.

<p>
<hr>

<a name="Area subdivision I: Warnock"></a>
<img src="hidsurf10.gif">
<hr>
<img src="hidsurf10.1.gif">
<hr>

<a name="Area subdivision II: Weiler-Atherton"></a>
<img src="hidsurf11.gif">
<hr>
<img src="hidsurf12.gif">
<hr>
<img src="hidsurf13.gif">
<hr>

<a name="List priority: BSP trees: Fuchs"></a>
<img src="hidsurf14.gif">
<hr>
<img src="hidsurf15.gif">
<hr>

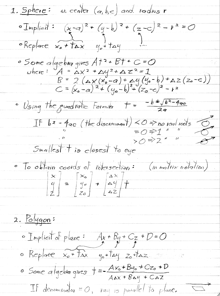
<a name="Basic ray casting algorithm"></a>
<a name="Ray-object intersections"></a>
<img src="hidsurf16.gif">
<hr>
<img src="hidsurf17.gif">
<hr>

<a name="Complexity"></a>
<a name="Typical performance"></a>
<img src="hidsurf18.gif">
<hr>

<a name="Efficiency accelerations"></a>
<img src="hidsurf20.gif">

<a name="Other issues"></a>
<img src="hidsurf21.gif">
<hr>

<address>
levoy@cs.stanford.edu
</address>
Friday, 20-Feb-1998 13:46:46 PST

</body>
</html>
