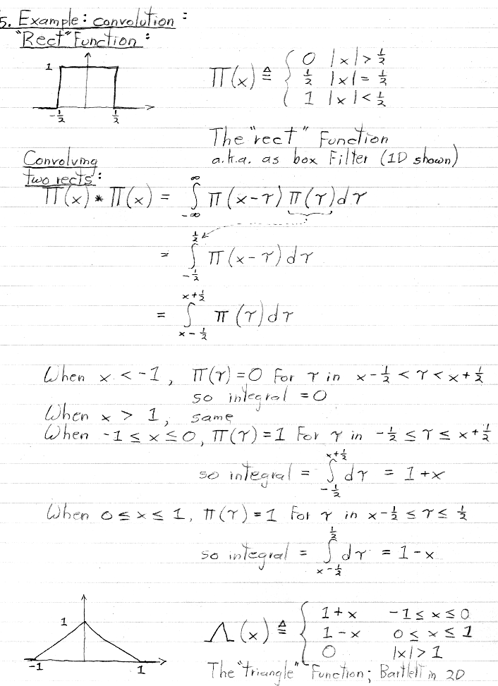
Sampling theory, aliasing

CS 248 - Introduction to Computer Graphics
Autumn Quarter, 1999
Marc Levoy
Lecture notes for Tuesday, October 12


Table of contents:

Press here for handout #6: Sampling and reconstruction.



















Press here for handout #6: Sampling and reconstruction.
levoy@cs.stanford.edu
Copyright © 1999 Marc Levoy
Last update: October 12, 1999 11:46:32 AM