<html>
<head>
<title>
Sampling theory (part I)
</title>
</head>
<body>

<h2>
Sampling theory (part I)
</h2>

<blockquote>
CS 348B - Computer Graphics: Image Synthesis Techniques
<br>
Spring Quarter, 1997
<br>
Marc Levoy
<br>
Lecture notes for Tuesday, April 8
<br>
Handout #9
<br>
</blockquote>


<p>
<hr>

<h3>Table of contents:</h3>
<ul>
<li>	Introduction
	<ul>
	<li>	<a href="#Sampling and reconstruction">
	Sampling and reconstruction</a>
	<li>	<a href="#Examples of aliasing">Examples of aliasing</a>
	</ul>
<li>	Linear, shift-invariant systems
	<ul>
	<li>	<a href="#System">System</a>
	<li>	<a href="#Linear system">Linear system</a>
	<li>	<a href="#Characterization of a linear system">
	Characterization of a linear system</a>
	<li>	<a href="#Shift-invariant system">Shift-invariant system</a>
	<li>	<a href="#Characterization of an LSI system">
	Characterization of an LSI system</a>
	<li>	<a href="#Example">Example</a>
	</ul>
<li>	Sampling in the spatial domain
	<ul>
	<li>	<a href="#Rect function">Rect function</a>
	<li>	<a href="#Impulse function">Impulse function</a>
	<li>	<a href="#Multiplication by an impulse">
		Multiplication by an impulse</a>
	<li>	<a href="#Convolution by a shifted impulse">
		Convolution by a shifted impulse</a>
	<li>	<a href="#Sampling using the Shah function">
		Sampling using the Shah function</a>
	<li>	<a href="#Replicating using the Shah function">
		Replicating using the Shah function</a>
	</ul>
</ul>

<p>
Press here for <a href="sampling2.html">Part II</a> of this lecture.

<p>
<hr>

<a name="Sampling and reconstruction"></a>
<img src="sampling2.gif">
<hr>

<a name="Examples of aliasing"></a>
<img src="sampling4.gif">
<hr>

<a name="System"></a>
<a name="Linear system"></a>
<a name="Characterization of a linear system"></a>
<img src="sampling5.gif">
<hr>

<a name="Shift-invariant system"></a>
<a name="Characterization of an LSI system"></a>
<a name="Example"></a>
<img src="sampling6.gif">
<hr>

<a name="Rect function"></a>
<a name="Impulse function"></a>
<img src="sampling7.gif">
<hr>

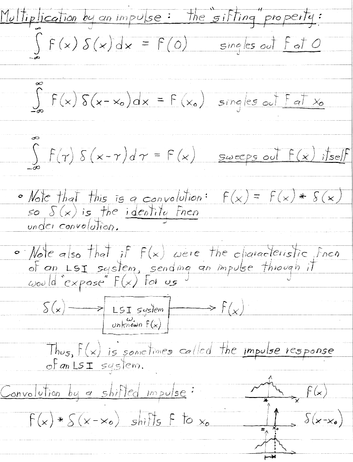
<a name="Multiplication by an impulse"></a>
<a name="Convolution by a shifted impulse"></a>
<img src="sampling8.gif">
<hr>

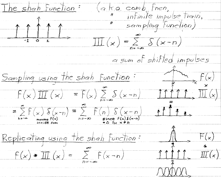
<a name="The Shah function"></a>
<a name="Sampling using the Shah function"></a>
<a name="Replicating using the Shah function"></a>
<img src="sampling9a.gif">
<hr>

<address>
levoy@cs.stanford.edu
</address>
<b>Copyright &copy; 1997 Marc Levoy</b>
<br>
Last update:
Friday, 20-Feb-1998 13:56:24 PST

</body>
</html>
