Lighting I: illumination, diffuse reflection
CS 248 - Introduction to Computer Graphics
Autumn Quarter, 1999
Marc Levoy
Lecture notes for Tuesday, November 23
Table of contents:
- Introduction
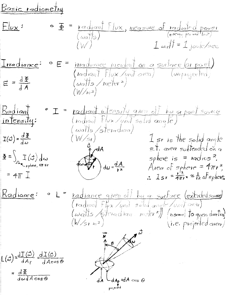
- Basic radiometry
- Illumination
- Reflection
levoy@cs.stanford.edu
Copyright © 1999 Marc Levoy
Last update:
November 30, 1999 03:54:13 PM