Lighting II: specular reflection, generalized lighting models
CS 248 - Introduction to Computer Graphics
Autumn Quarter, 1999
Marc Levoy
Lecture notes for Tuesday, November 30
Table of contents:
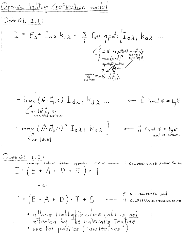
- Reflection (continued)
- Generalizing the reflection model
Press here for the Powerpoint slides about
measuring BRDFs.
levoy@cs.stanford.edu
Copyright © 1999 Marc Levoy
Last update:
November 30, 1999 02:15:02 PM